반응형
문제
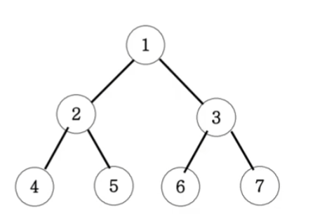
- 아래 그림과 같은 이진트리를 전위순회와 후위순회를 연습해보세요.

- 전위순회 출력 : 1 2 4 5 3 6 7
- 중위순회 출력 : 4 2 5 1 6 3 7
- 후위순회 출력 : 4 5 2 6 7 3 1
풀이방식
이번 문제는 이진트라와 재귀함수를(을) 사용하여 푸는 문제이다.
더 자세한 설명은 아래 글을 참조해서 확인해보기 바랍니다.
섹션 7. Recursive, Tree, Graph(DFS, BFS 기초) 6. 부분집합 구하기(DFS)
설계과정
1. 노드에 값이 없으면 말단 노드임을 의미하므로 바로 리턴한다.
2. 왼쪽과 오른쪽을 나누어서 각각의 노드를 생성한다.
아래 이미지를 통해 자세히 알아보자.
- 코드중에 tree.root.lt = new Node(2) 가 수행되면 주소값이 200인 lt를 생성하고, 그 주소인 200을 root 의 lt에 준다.
- 말단 노드는 자식이 없으므로 lt, rt 주소가 null 이다.

3. 전위, 중위, 후위에 맞게 출력한다.
풀이과정
1. Node 클래스를 통해 data, lt, rt 를 선언하고 값을 초기화한다.
- data : 각 트리의 값이 들어갈 변수이다.
- lt : 왼쪽 자식의 노드이다.
- rt : 오른쪽 자식의 노드이다.
- lt 와 rt 는 인스턴스 변수로, 노드 클래스의 객체 주소를 저장하는 변수이다.
- val : data 값이 넘어온다.
2. DFS() 메소드를 작성하자.
3. 먼저 root 값이 null이면 그대로 리턴한다.
- 말단 노드이면 자식이 없고, 끝을 의미하므로 바로 리턴한다.
4. null이 아니라면 DFS()를 통해 lt와 rt 노드를 생성한다.
5. 전위, 중위, 후위순회에 맞는 위치에서 값을 출력한다.
- 이 때, 출력문은 총 3개지만 2개는 주석처리해야 정상적은 값이 출력된다.
해당 글은 인프런 > 자바(Java) 알고리즘 문제풀이 : 코딩테스트 대비(김태원)강의를 참고하여 작성하였습니다.
반응형
'알고리즘 > 인프런' 카테고리의 다른 글
| 섹션 7. Recursive, Tree, Graph(DFS, BFS 기초) 7. 이진트리 레벨탐색(BFS : Breadth-First Search) (0) | 2022.11.17 |
|---|---|
| 섹션 7. Recursive, Tree, Graph(DFS, BFS 기초) 6. 부분집합 구하기(DFS) (0) | 2022.11.16 |
| 섹션 7. Recursive, Tree, Graph(DFS, BFS 기초) 4. 피보나치 재귀(메모이제이션) (0) | 2022.11.14 |
| 섹션 7. Recursive, Tree, Graph(DFS, BFS 기초) 3. 팩토리얼 (0) | 2022.11.09 |
| 섹션 7. Recursive, Tree, Graph(DFS, BFS 기초) 2. 이진수 출력(재귀) (0) | 2022.11.09 |